Мирослав Евсеенко: от 0,001% и до 266 190%. О реальных процентах в отечественном микрокредитовании
В последнее время на просторах отечественного интернета «всплывают» различные материалы с заголовками, мол, микрокредитные финансовые учреждения выдают займы под какие-то невероятные проценты, которые измеряются десятками и сотнями тысяч процентов в год. Но соответствуют ли действительности такие данные?
Такое явление как микрокредитование – это не украинское ноу-хау и пользуется спросом во всем мире. К примеру, в США ежедневно выдают около 350 тыс. микрозаймов с процентной ставкой до 3% в день.
В Европе условия микрокредитования разнятся в зависимости от страны. Средний размер кредита в странах ЕС составляет 1500 евро, а процентная ставка колеблется в пределах от 0,9 в Польше до 3,1% в Швеции на день.
На этом фоне украинские реалии не кажутся такими уж страшными, ведь средняя процентная ставка в Украине колеблется в пределах от 0,001% до 2,2% в день. Если мы посчитаем годовую процентную ставку исходя даже из 2,2% в день, то получим 803%, что, конечно, много и все равно отнюдь не 266 190%. И здесь важно заметить, что в пределах от 0,001% до 2,2% заемщик платит только в случае когда четко выполняет условия договора.
Так откуда взялись те страшные 54 000% и даже 266 190% в год? Все дело в формуле для вычисления годовой реальной процентной ставки, предложенной регулятором.
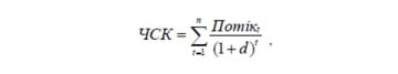
Сразу стоит заметить, что формула эта совсем не понятна для клиента по своему содержанию, а по результатам использования – она отпугивает любого. Выглядит она следующим образом:

Здесь ЧСК – это сумма денег, которые получает клиент на руки, Σ – это знак суммы. Поток – это, собственно, деньги которые клиент платит макрофинансовому учреждению.
Сюда входят тело кредита и проценты за пользование, d – реальный годовой процент, который дисконтирует, то есть сравнивает стоимость разных объектов во времени, все будущие платежи за кредит. t – срок действия договора, а n – это период, который остался до уплаты своих обязательств по кредитному договору.
Дело в том, что формула была рассчитана на банковский сектор, где кредиты выдают относительно большими суммами и на длительный период, в то время как в секторе микрокредитования займы выдаются на очень короткие сроки, чаще всего до 15 дней, и в пределах 3000–5000 гривен.
Рассмотрим пример, когда человек обращается в микрофинансовую организацию за займом. Это будет среднестатистическая ситуация, когда кто-то взял 4000 гривен на 15 дней с процентной ставкой 1,6% в день.

*с использованием ставки дисконтирования (эффективная ставка) 1,528 процента в день или 1,4441*365=527% годовых.
Таким образом можно подсчитать, что клиент заплатит 960 гривен за пользование кредитом, что составляет 24% процента от 4000 гривен, что в годовом эквиваленте – 584%.
Согласитесь, чувствуется разница между 24 реально уплаченными процентами и 266 190 мифическими процентами.
Так как же получилось, что реальные проценты благодаря приведенной выше формуле превращаются в безумные цифры, скорее похожие на номер телефона? Дело в предложенной регулятором методике исчисления, которая опирается на сложные проценты из-за дисконтирования всех будущих платежей на годовой основе.
Иными словами: данная формула прекрасно работает если речь идет о годе и если речь идет об МФО, то такой расчет годовой ставки не просто не отражает реальную картину, а скорее отпугивает клиентов и дискредитирует весь рынок микрозаймов.
Дело в том, что для исчисления годовой процентной ставки по новой формуле НБУ рекомендует использовать функцию ЧИСТВНДОХ (XIRR) в Microsoft Excel, куда необходимо ввести дату выдачи кредита, дату платежа и чистую сумму кредита и сумму платежа за расчетный период.
И если клиент реально за весь период пользования кредитом платит 24%, то воспользовавшись указанной функцией, в нашем примере, мы получим сумасшедшие 18 661%. Другими словами – указанная формула высчитывает самые тяжелые из возможных проценты.
В очередной раз подчеркиваю, что те компании, которые работают открыто, прозрачно и честно, всегда информируют своих клиентов об условиях кредитования и разъясняют все детали договора до момента подписания, ведь главной целью игроков рынка микрокредитования Украины является помощь гражданам, очутившимся во временном затруднении.
Именно тем гражданам, которые не могут обратиться в банк прежде всего. Опять же, у каждой микрофинансовой организации разные условия кредитования.
В основном, первый кредит выдается под максимум 3% годовых. И если заемщик не возвращает одолженные деньги, или же злоупотребляет доступностью займа, то в конечном случае его будут ждать финансовые трудности.
Напоследок хочу пожелать всем добра, финансовой грамотности и прозрачных и честных рыночных условий.
Мирослав Евсеенко, руководитель Департамента управления бизнесом финансовой компании «Благо»



















